Soal dan Jawaban UAS 2020-2021 MK Teknik Kompilasi
1. Diketahui sebuah turunan sebagai berikut :
S à
AB
A à
Aa | a
B à
Bb | b
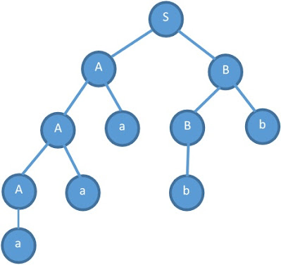
Buatlah parsing dan tree-nya bila diinputkan string
aaabb
Jawaban :
S à AB
è AaBa
è Aaabb
è aaabb
![]() |
Gambar 1. Parsing Tree |
2. Bila diketahui sebuah turunan sebagai berikut :
S à
aB | bA
A à
a | aS | bAA
B à
b | bS | aBB
Buatlah parsing dan tree-nya bila diinputkan string abbaab !
S à
aB
è abS
è abbA
è abbaS
è abbaaB
è abbaab
![]() |
Gambar 2. Parsing TREE |
3. Bila diketahui
instruksi : Z = X*Y + P/Q, buatlah menjadi :
a.
Kode Antara
Triple Notation
b.
Quadruple
Notation
c.
Jawaban b) buatlah menjadi Bahasa Assembly Akumulator
Tunggal
Kode Antara Triple Notation :
1. *,X,Y
2. /,P,Q
3. +,(1),(2)
4. :=,Z,(3)
Quadruple Notation
:
1. *,X,Y,T1
2. /,P,Q,T2
3. +,T1,T2,Z
Bahasa Assembly Akumulator Tunggal :
LDA X
MUL Y
STO T1 {
LDA P
DIV Q
STO T2
LDA T1
ADD T2
STO Z




